Alle wichtigen Vorsorgeverfügungen auf einen Blick


Patientenverfügung

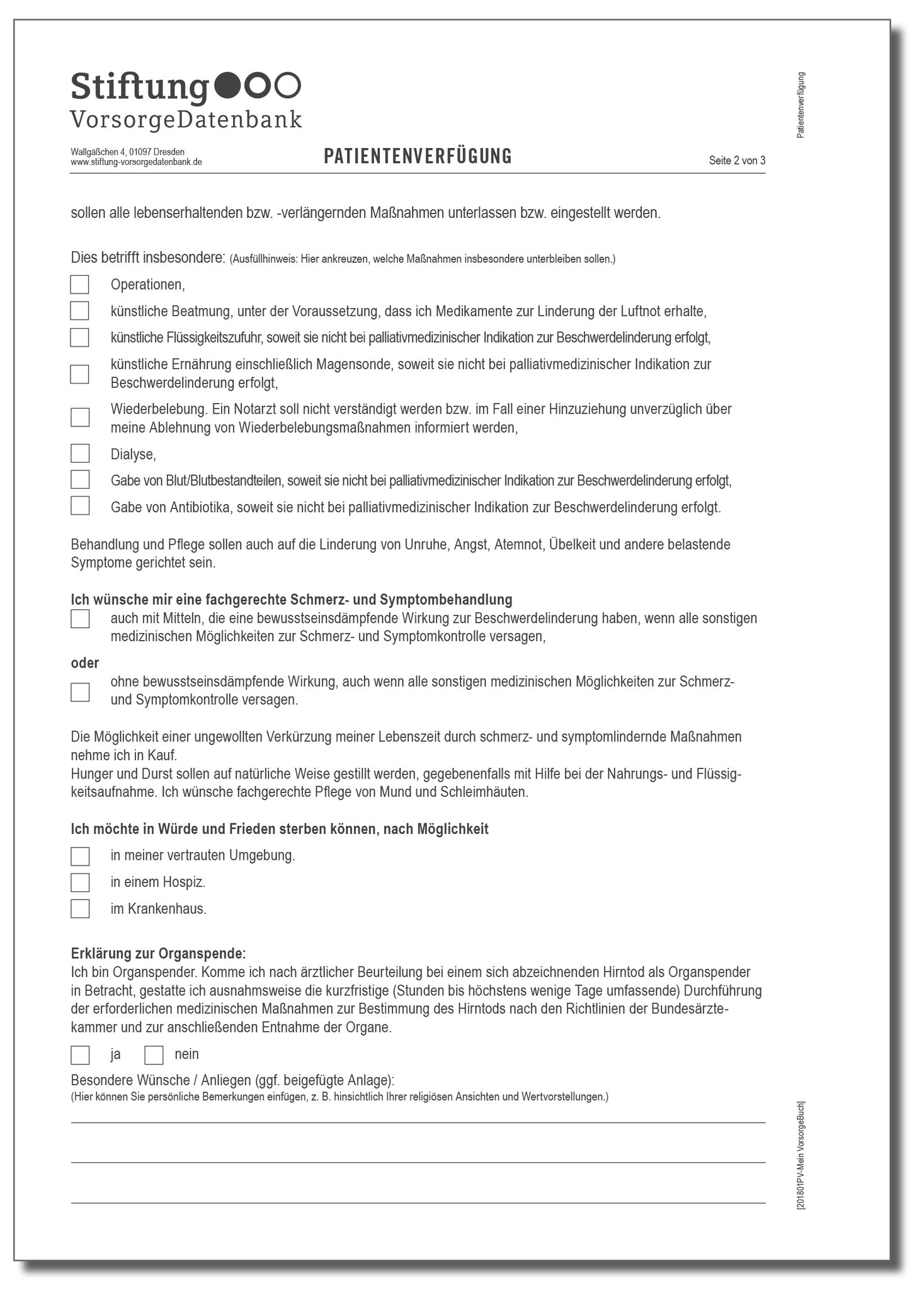
Mit der Patientenverfügung entscheiden Sie, ob Sie bei einer schweren und aussichtslosen Erkrankung (vor allem in der letzten Lebensphase) lebenserhaltende oder -verlängernde medizinische Maßnahmen wollen. So bleibt Ihr Selbstbestimmungsrecht auch in dieser Situation gewahrt.

 

Wichtig: Eine rechtswirksame Patientenverfügung muss von den behandelnden Ärzten beachtet werden. 

Deshalb ist es notwendig, 

 

  • dass diese Vollmacht im volljährigen Alter schriftlich niedergelegt wird 
  • Sie beim Abfassen dieser Verfügung einsichtsfähig sind 
  • und Ihnen die Bedeutung dieser Patientenverfügung bewusst ist.

 

Eine besondere Form ist nicht vorgeschrieben. Die Verfügung muss jedoch schriftlich erfolgen. Dabei reicht es aus, wenn Sie unsere vorbereitete Verfügung ausfüllen und mit Ihrer eigenhändigen Unterschrift versehen.

 

 




Gesundheits- und Pflegevollmacht

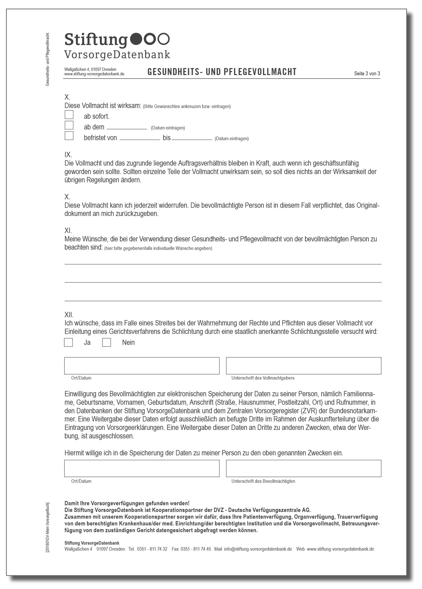
Diese Vollmacht stellt sicher, dass Ihre Behandlung im Krankenhaus auch dann optimal und ohne zeitliche Verzögerung erfolgen kann, wenn Sie selbst keine Einwilligung mehr geben können.

 

Auch bei bester Vorbereitung einer Operation und vorheriger Aufklärung kann es zu unerwarteten Ereignissen kommen, die Behandlungsmaßnahmen erfordern, denen Sie nicht zuvor zugestimmt haben. Per Gesundheitsvollmacht kann dann Ihr Bevollmächtigter an Ihrer Stelle die erforderlichen Entscheidungen treffen.

 

Außerdem ermöglicht diese Vollmacht, dass er Sie auch bei Pflegebedürftigkeit vollumfänglich vertreten kann, um etwa auch im Anschluss an einen Krankenhausaufenthalt alles Erforderliche für Sie zu regeln.




Betreuungsverfügung

Wir empfehlen Ihnen abweichend von dem, was häufig zu lesen ist, für die Regelung der rechtlichen Vertretung die Betreuungsver-fügung, nicht die Vorsorgevollmacht.

 

Mit der Betreuungsverfügung legen Sie für das Betreuungsgericht verbindlich fest, wer für Sie als Betreuer bestellt wird, wenn Sie geschäftsunfähig werden sollten.

 

Damit ist praktisch ausgeschlossen, dass eine fremde, Ihnen nicht genehme Person Ihr Betreuer wird. Sie müssen dabei auch nicht befürchten, Ihre Rechte zu verlieren. Durch die Bestellung eines Betreuers wird der Betreute nicht „entmündigt“!

 

Die rechtliche Betreuung ermöglicht dem Betreuer Rechtshandlungen im Namen des Betreuten, die dieser selbst nicht mehr vornehmen kann. Der Betreute selbst behält wie bei einer Vorsorgevollmacht alle seine Rechte.

 




Entbindung von der ärztlichen Schweigepflicht

Diese Entbindungsverfügung gilt für den Fall, dass Sie als Patient nicht ansprechbar sind und deshalb auch nicht nachgefragt werden kann, ob Gesundheitsinformationen an bestimmte Personen herausgegeben werden dürfen.

 

Hintergrund: Ärzte und medizinische Hilfskräfte dürfen aus rechtlichen Gründen grundsätzlich keine Informationen über Diagnose und Therapie ihrer Patienten an fremde Personen übermitteln - es sei denn, diese Informationen würden dem mutmaßlichen Interesse des Patienten entsprechen oder es liegt eine Entbindung von der ärztlichen Schweigepflicht für die anfragende Person vor.

 

Dies gilt auch für den Klinikarzt im Verhältnis zu dem Hausarzt oder anderen behandelnden Ärzten.

 




Organverfügung

Mit einer Organverfügung können Sie in eine Organentnahme einwilligen, ihr widersprechen oder diese Entscheidungen einer namentlich benannten Person Ihres Vertrauens übertragen.

 

Wenn es wirklich darauf ankommt, sind die meisten Menschen in einer solchen Krisensituation mit dieser Frage überfordert.

 

Entscheiden Sie deshalb selbst vorab und früh genug, entlasten Sie somit Ihre trauernden Familienangehörigen und Freunde.

 





Pflegeverfügung

Auch damit sollten Sie sich früh genug befassen.

 

In einer Pflegeverfügung können Sie Ihre persönlichen Wünsche schriftlich niederlegen - für den Fall, dass Sie nicht mehr in der Lage sind sich mitzuteilen. 

 

Wenn Sie bestimmte Vorstellungen über Tagesablauf, Hygiene, Kosmetik, Unterhaltung etc. haben, dann müssen diese Wünsche für andere erfahrbar sein.

 



Trauerverfügung

Mit einer Trauerverfügung können Sie festlegen, in welcher Art und Weise Ihre Beerdigung stattfinden soll. 

 

Erdbestattung, Urne, See oder im Friedwald? 

Entscheiden Sie rechtzeitig, diese Verfügungen sind verbindlich und müssen von den Totenfürsorgeberechtigten befolgt werden. 

 

So können Sie auch bestimmen, welche Personen zu der Beerdigung eingeladen werden sollen, wie die Feierlichkeit stattfinden soll – und nicht zuletzt, wie die Kosten organisiert werden sollen.

 




Verfügung zum digitalen Erbe

Sie haben sicherlich 

 

  • Fotos, Videos und Dokumente, die auf passwort-gesicherten Festplatten oder in der "Cloud" gespeichert sind 
  • Kundenkonten (bei Online-Händlern, Banken, Versicherungen, Streamingdiensten, Google, Microsoft) 
  • Zugangsdaten bei sozialen Medien wie Facebook, Twitter, Instagram, WhatsApp.

 

Regeln Sie, wer diese Zugangsdaten erhalten soll und was mit den Accounts geschehen soll.

 

Achtung! Dokumentieren Sie alle Zugangsdaten und Passwörter so, dass der Berechtigte sie auch findet. Das ist mühevoll, aber wichtig und notwendig.